万象城AWC(中国)

中文 English
news

全球首例,这项人体临床试验证实NMN的安全性|行业研究

来源: | 发布日期:2023-10-07 | 浏览次数:1

 

科学研究表明,细胞内烟酷胺腺瞟吟二核昔酸(NAD+)水平的下降会导致与衰老相关的疾病,而在动物模型中,增加细胞NAD的治疗方法可以预防这些疾病。同时,大量研究表明,补充NMN等NAD+前体物质,可使体内的NAD+水平上升,为细胞供能,从而减轻与衰老相关的功能障碍。

20230925164005521G


为了研究NMN对人体的安全性,2016年,日本庆应义塾大学进行NMN第一次人体临床研究,并在2019年发表了试验结果顺利获得评估日本健康男性的临床参数及其代谢物水平来检验单次NMN给药的安全性。

图片1

NMN安全性试验_02

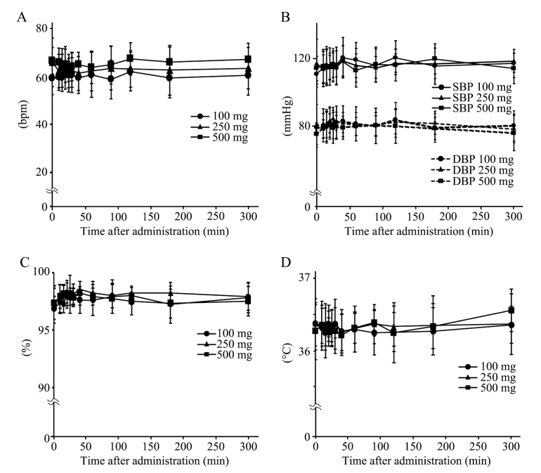
临床参数方面,研究显示单次口服NMN未引起任何明显的临床症状或心率、血压、血氧饱和度和体温的变化。

图片2

【心率(A)、血压(B)、血氧饱和度(C)、体温(D)】

 

血清参数方面,实验室分析结果显示,除了血清胆红素水平升高以及血清肌酐、氯化物和血糖水平在下降外其它没有显示出明显的变化,并且这些变化保持在正常范围内,与NMN的剂量无关。

实验-2

【总胆红素(C)、肌酐(E)、钠和氯(F)、葡萄糖(G)】

 

口服NMN后血浆NMN代谢物水平的变化显示,n -甲基-2-吡啶酮-5-羧酰胺(2Py)和n -甲基-4-吡啶酮-5-羧酰胺(4Py)的血浆浓度在NMN给药后呈剂量依赖性增加,支持了受试者对NMN的剂量依赖性摄取。

图片7

【NMN的代谢途径如图(A)、2Py (B)、4Py (C)】

 

干预前后眼科检查结果无显著差异。神经系统、眼底和眼科参数的检查结果在所有剂量的NMN给药后均未显示任何显著变化。

眼科参数

综合来讲,此项研究显示,健康男性单次口服NMN高达500mg是安全的,并经高效代谢不会引起任何明显的有害影响。

原文链接:http://pubmed.ncbi.nlm.nih.gov/31685720/

免责声明:

本文信息均来源于公开资料,相关信息仅做分享学习,不代表任何医疗建议用途及商业建议。如有侵权,请联系作者删除。

本内容归本公司原创版权所有,未经本公司书面许可,任何组织和个人不得以任何形式翻版、复制、发表或引用。如征得本公司同意进行引用、刊发的,须在本公司允许的范围内使用。

【责任编辑】

推荐资讯

关注我们
苏州万象城AWC(中国)生物科技股份有限公司©版权所有

公安备案:苏公安网备32059002003709号

备案号:苏ICP备15063363号